
去年 7 月,马斯克的 SpaceX 龙飞船将 18 个装有火山岩和微生物(细菌)的微型反应堆送上了国际空间站。此行的目的很简单——测试不同微生物在太空微重力、甚至无重力环境下进行 “生物采矿” 的可行性。
其中,每一个微型反应堆内都装有一种常见于月球和火星的玄武岩岩石样本和一种特定的微生物,被浸泡在含有微生物的溶液中的岩石样本,几个星期后会被送回地球进行分析。
11 月 10 日,相关研究成果在线发表在《自然-通讯》(Nature Communications)杂志上,实验数据表明,微生物可以在零重力条件下浸出岩石中具有经济价值的稀土元素(Rare Earth Element,REE)。这一研究发现,让人类利用微生物在宇宙中其他星球进行 “生物采矿” 成为可能。

(来源:Nature Communications)
据论文描述,这项实验将研究低重力环境是否影响微生物从岩石中提取矿物质的能力,以及微生物在太空中如何生长并形成生物膜、低重力条件对生物膜的影响等。
对于这项研究工作,英国天体生物学家、英国爱丁堡大学物理与天文学学院天体生物学教授、英国天体生物学中心主任查尔斯·科克尔(Charles Cockell)此前曾表示,“我们希望深入了解微生物在太空中的生长情况,以及如何利用它们更好地服务于人类太空探索和太空移民等工作,比如应用于采矿业、将岩石变成月球和火星土壤等。”
“太空采矿” 商业价值巨大
一直以来,随着人类经济社会的快速发展,地球资源尤其是一些稀有资源的短缺问题逐渐凸显。地球之外的太空资源已经成为了美日等各个国家竞相争夺的目标。
近年来,科学家一直在研究利用细菌开采小行星金属矿藏的可行性,这种开采方式的成本低于常规手段,他们甚至认为,只需将水和细菌倾泻到岩石上,就能得到金属。
今年 4 月,美国总统特朗普签署了一份行政命令——《太空资源开采和使用的国际支持保障》,为将来美国进入太空,尤其是前往月球和小行星开采太空资源正式确立了政策,并指出美国政府有权探索和开采外太空的资源,而且并不认为外太空的资源应由各国共享,开采前也不需要征得其他国家同意。
为何太空资源如此重要?事实证明,太空采矿具有巨大的经济前景。太空中的很多小行星富含金属(比如用于制造电子设备的稀有金属),但这些金属却很难在地球上找到。同时,这些小行星也可以作为未来建造空间站和空间探测器的重要金属材料来源,这就意味着人类未来或许可以直接在太空建造空间站和探测器,而无需使用昂贵的重型运载火箭。
就拿稀土资源来说,无论是在制造芯片、智能手机方面,还是在制造电动汽车等高科技产品的过程中,是否拥有充足的可开采稀土资源,对于一个国家而言至关重要。
由于具有独特的磁性和催化性能等特点,稀土元素现已被广泛应用于手机、电脑屏幕等电子设备生产和其他高科技领域应用,以及石油化工、冶金、机械、能源、轻工、环境保护、农业等领域,并用来生产超导材料、磁致伸缩材料、磁致冷材料、磁光存储材料、光导纤维材料、荧光材料、稀土金属氢化物电池材料、电光源材料、永磁材料、储氢材料、催化材料、精密陶瓷材料、激光材料等。
但是,开采稀土元素不仅难度大,而且成本高,未来也可能会供不应求。一直以来,人类希望在地外星球找到 “第二个地球” 来居住或开采稀有资源,在这一探索过程中,找到一种可以在地球之外进行简单、高效的稀土元素提取的方法意义重大。
在地球上,微生物在自然过程中起着十分重要的作用,比如将岩石风化为土壤以及促进生物圈中元素的循环等。同时,微生物也被用于各种工业和制造业过程,微生物可以提高从岩石中提取有价值的元素(比如铜和金)的效率,在某些情况下,这一过程可以减少对环境有害的有毒化合物(如氰化物)的使用,而且微生物与矿物的相互作用也被用来净化被污染的土壤。
同样,细菌和真菌等异养微生物可以在近中性或碱性环境下,通过释放有机酸来改变周围环境的 pH 值等方式,实现有效的生物浸出,比如微生物已经被用来开采地球岩石中的稀土元素。
但人类尚不清楚它们是否可以在低重力或零重力的条件下完成这项工作。
这种细菌不简单
在此次研究中,研究人员通过在国际空间站上开展一系列实验来评估 3 种细菌(Sphingomonas desiccabilis、Bacillus subtilis 和 Cupriavidus metallidurans)在微重力和模拟火星重力条件下的生物采矿潜力。
研究人员通过将微重力作为可能的最低重力水平进行研究,来探讨缺乏沉降作用对生物浸出的影响,同时了解重力如何影响微生物与矿物间的相互作用,以及未来在小行星和其他低重力行星进行工业生物采矿的可行性。


图|位于太空舱内的实验装置图。其中,图 a 中的两个培养室中充满了培养液;图 b 为培养室的横截面;图 c 为浸泡在培养液中的玄武岩;图 d 为正在做实验的欧洲航天局宇航员(来源:该研究论文
研究人员表示,“我们将通过实验首次了解微生物在微重力和模拟火星重力环境下如何相互作用、生长以及从岩石表面浸出元素,以及低重力是否会影响微生物附着在岩石表面并进行生物采矿的能力。也就是说,利用微生物在地外星球进行生物采矿的想法是否可行。”

图 | 被染成荧光绿色的 Sphingomonas desiccabilis 生长于玄武岩上(来源:该研究论文)
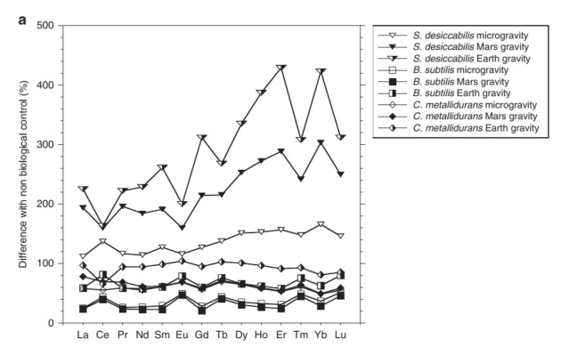
他们测量了 3 种细菌提取稀土元素的效率,即从玄武岩(在月球和火星表面比较常见)中浸出的 14 种不同稀土元素的含量。同时,他们也在地球普通重力条件下开展了相关的平行实验。

他们发现,Sphingomonas desiccabilis 在三种重力条件下都可以从玄武岩中浸出稀土元素,而且浸出率较为相似,显示出了这种细菌在不同生物采矿环境下的适用性。而且,Sphingomonas desiccabilis 对玄武岩中含量最多的稀土元素的浸出率最高,比如对铈(Cerium)和钕(Neodymium)的浸出率达到了 70% 左右;而 Bacillus subtilis 和 Cupriavidus metallidurans 两种细菌物种的浸出率,要么在低重力条件下相较于地球普通重力条件下降低,要么在任何实验条件下都无法浸出稀土元素。

图 | 在生物实验和非生物控制实验中,3 种微生物分别在微重力、模拟火星和地球重力条件下的平均稀土元素浸出浓度的相对差异(来源:该研究论文)
以上结果表明,虽然微生物的生物采矿能力具有生物体特异性,但这种能力在太空和类似火星的重力条件下是可以存在的。
同时,据论文描述,一些玄武岩之外的其他材料的浸出率甚至更高,比如,月球上一种名为 KREEP(是一些被撞击的月球角砾岩和玄武岩中的地球化学成分)的岩石就含有异常高浓度的稀土元素。
研究人员认为这一研究成果可能反映了在月球重力作用下进行生物采矿的潜力,并建议在月球上的风暴洋(Oceanus Procellarum)和雨海(Mare Imbrium)地区,建立稀土生物采矿设施,在那里,KREEP 岩石异常丰富。
雨海是月球上布满整个雨海撞击盆地的辽阔月海,也是太阳系中最大的撞击坑之一。雨海盆地形成于后期重轰炸期阶段一颗原行星的碰撞,后来涌出的玄武岩熔岩淹没了这一巨型坑,形成今天所见的平坦火山平原;风暴洋是月球近月面西侧,形成于31-35亿年前的一座巨大的月海。由于面积最大,它也是月球上唯一被称为"洋"的月海,横跨月球南北中轴线绵延达2500公里以上,其范围约400万平方公里。
此外,这一研究成果也可以应用到其他对原位资源利用(In-Situ Resource Utilisation,ISRU)具有经济意义的材料,比如陨石材料已被证明与微生物生长相容。因此,这一微重力实验显示了在低重力小行星环境中生物化的潜力。
在太空探索中,原位资源利用是指收集,加工,储存和使用在其他天文物体上发现或制造的材料,以代替原本从地球带走的材料的做法。ISRU可以为航天器的有效载荷或太空探索人员提供生命支持材料,推进剂,建筑材料和能源。现在,对于航天器和机器人行星表面任务来说,以太阳能电池板的形式利用就地发现的太阳辐射已非常普遍。
除了在地外星球采矿,了解微生物与矿物在太空环境下的相互作用,还有助于:
将贫瘠岩石“转变”为土壤;形成具有固炭、固氮等功能的生物土壤结皮;使用风化层作为生态系统的原料;使用风化层作为生物燃料;以及矿物建筑材料的生产。
这就需要我们了解,微生物如何在太空环境下附着在岩石和风化层表面并与发生相互反应,以及微生物在不同星球、不同重力环境下的离子浸出和矿物降解变化。而此次实验证明了微生物和矿物相互作用在推进建立在地球之外可自我维持的永久人类生存环境,以及实现这一目标的技术手段。
研究人员表示,“微生物无处不在,在我们的日常生活中起着极其重要的作用,我们可以利用微生物提高太空移民的成功率,此次实验旨在帮助人类和微生物界建立一个新的太空联盟,人类在微生物的 ‘帮助’ 下实现在宇宙中永久存在。”
接下来,他们将继续调整实验的相关参数,以提高整体工艺水平和反应器规模。也许在不久的将来,人类可以借助地外星球的本地资源,建成第二个 “地球”。

未经允许不得转载:泰泽科创站 » 首次太空实验证实,微生物或是未来“太空移民”主力军
